opta足球数据中文版
首页
opta足球
学院简介
历史沿革
学院领导
行政机构
学术机构
工作动态
师资力量
创新群体
新世纪优秀人才
博士指导教师
硕士指导教师
教授
副教授
助理教授
本科班主任
学科介绍
国家重点学科
部省重点学科
博士点学科
硕士点学科
大学教学
本科生教学
研究生教学
博士后继续教育
国家级教学基地
科学研究
研究方向
研究成果
在研项目
应用成果
科技论文
科研信息
科研机构
国家级科技平台
部省级科研平台
各级研究所
研究中心
学生园地
通知公告
思想教育
青春风采
奖助补贷
资料下载
本科招生专栏
校友工作
校庆信息
校友名录
知名校友
校友来函
校友作品
公告信息
公告信息
公告信息
当前位置:
首页
>>
公告信息
>> 正文
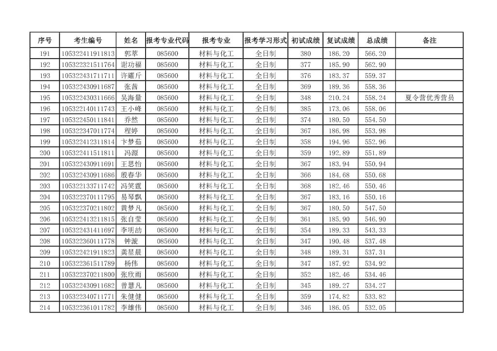
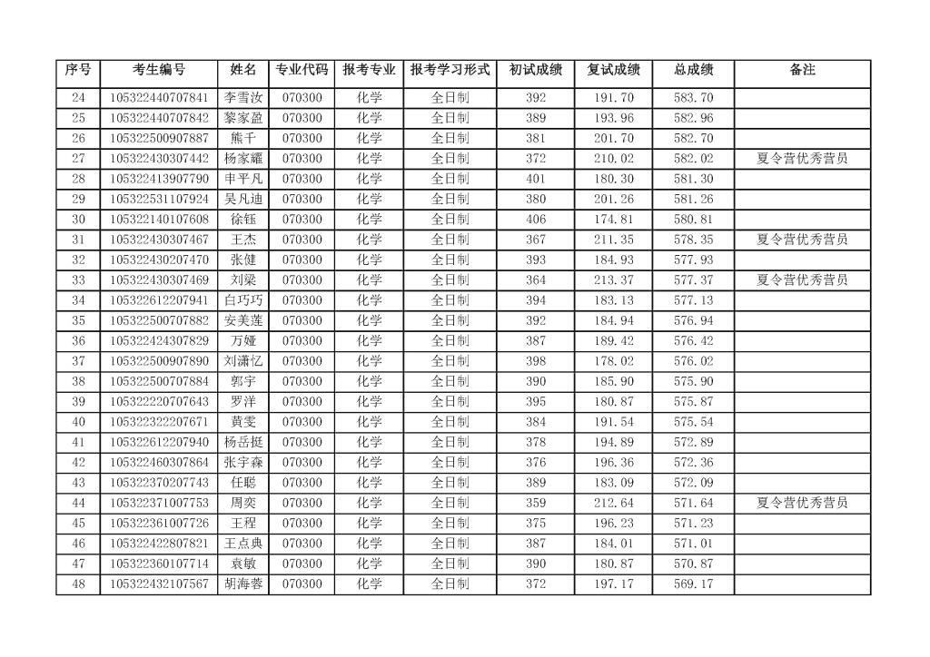
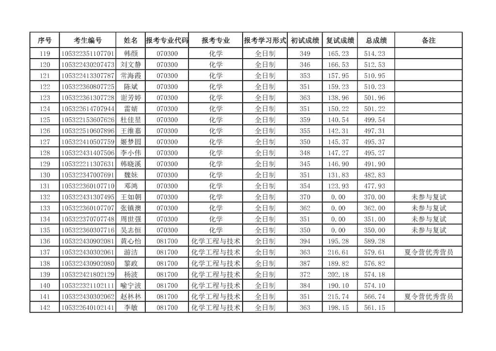
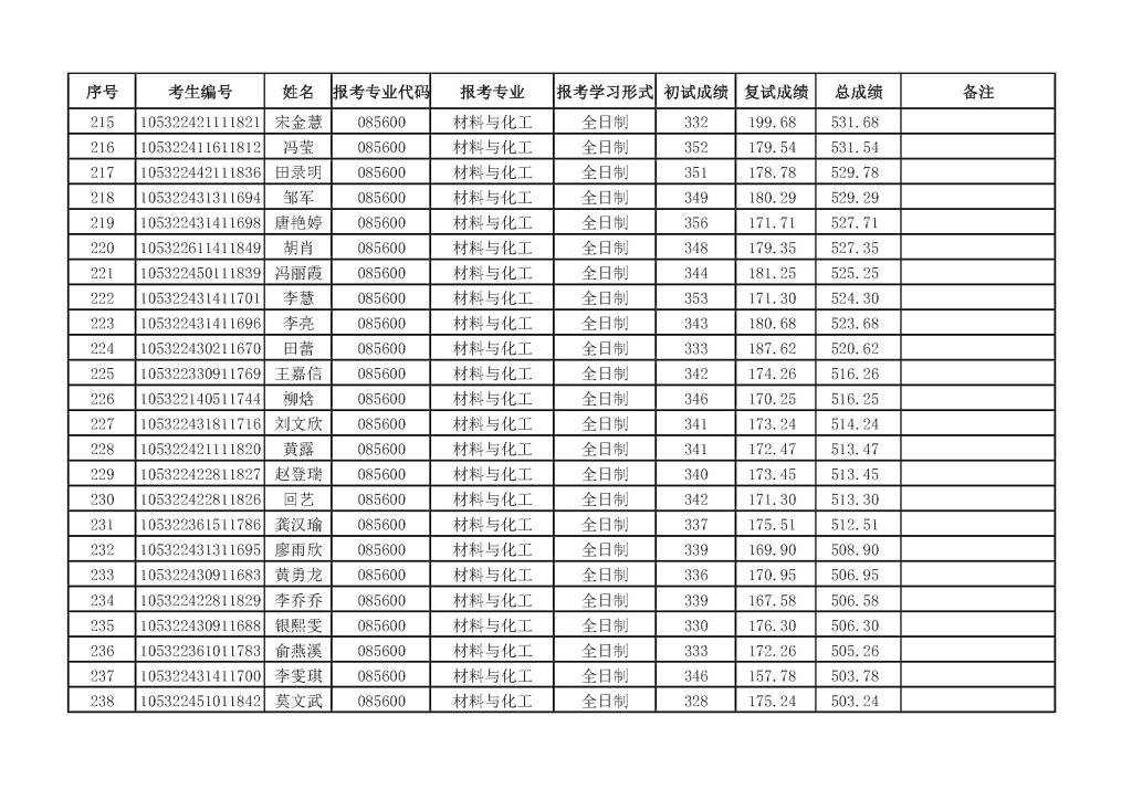
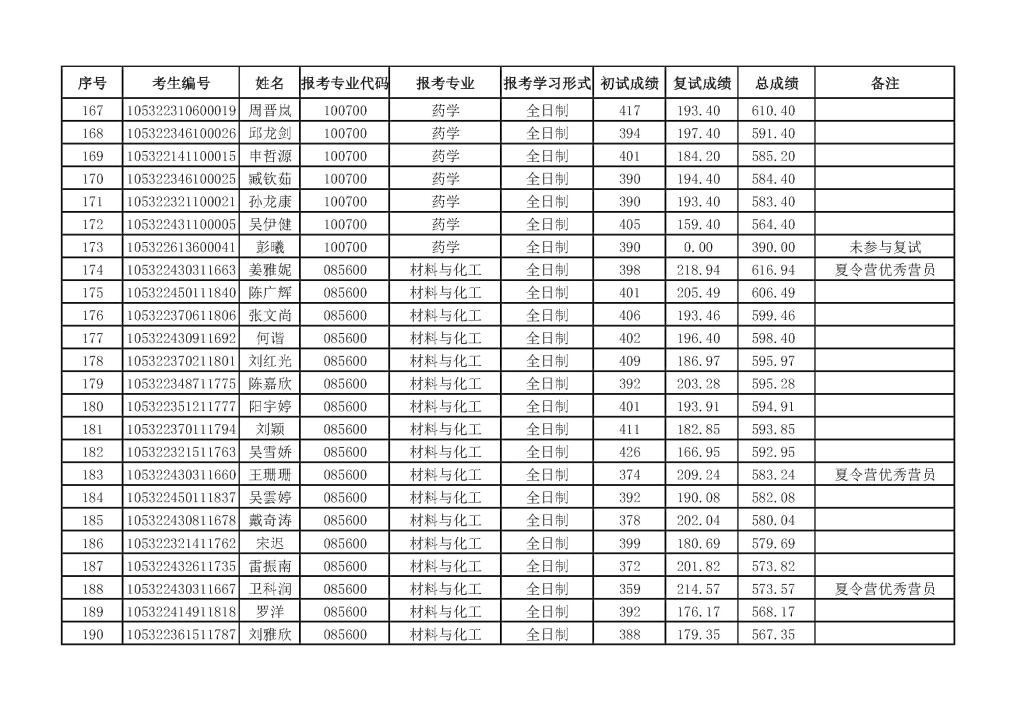
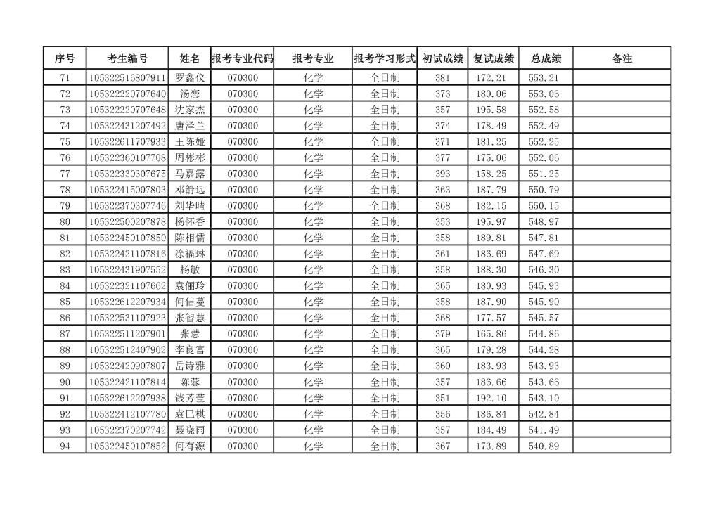
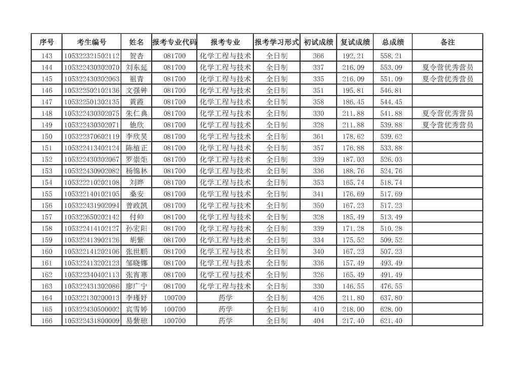
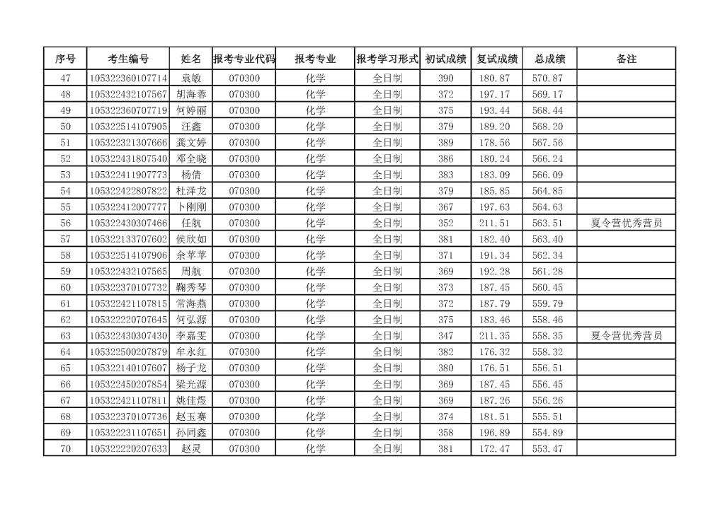
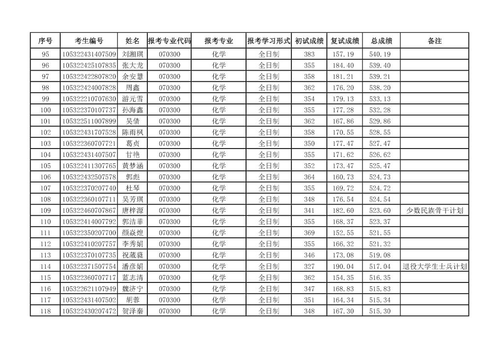
opta足球数据中文版2022年硕士研究生招生复试成绩公示
通讯员:
发布时间:
2022-04-04
浏览量:
次
上一条:
opta足球数据中文版2022年硕士研究生拟录取名单
下一条:
opta足球数据中文版2022年硕士研究生招生考试复试面试的通知
微信
微博
返回顶部